본문 바로가기

전자기학

멕스웰 방정식(Maxwell's Equations)

멕스웰 방정식은 전기장과 자기장 사이의 관계를 기술하며 4개의 법칙으로 구성되어 있습니다. 법칙을 통한 멕스웰 방정식의 풀이를 요약하면, 전송선에 흐르는 전류에 의해 자기장이 형성되고 자기장은 전기장을 형성하여 결국 전자기장을 형성하게 되는 현상을 설명합니다. 시간에 따라 변하지 않는 직류(DC)는 전자기장을 형성하지 못하고, 시간에 따라 변하는 교류(AC)에 의해서만 전자기장이 형성하게 되는 현상을 설명합니다.

 

- 1법칙 : 전기력선(가우스의 법칙)

도체와 부도체 사이에 전하가 축적되면 정전기장을 형성한다는 것을 설명합니다.

- 2법칙 : 자기력선(가우스의 법칙)

전기적 전하(electric charge)는 양극 또는 음극으로 충전되어 존재하지만 자기적 전하(magnetic charge)는 존재할 수 없음을 설명합니다.

- 3법칙 : 전위(페러데이 법칙)

시간에 따라 변하는 자기장에 의해 형성되는 전기장의 특성을 설명합니다.

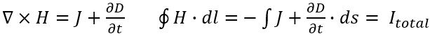
- 4법칙 : 전류(암페어의 법칙)

자기장은 전류의 이동과 전하의 변화에 의해 발생한다는 것을 설명합니다.

 

멕스월방적식 단위 설명

'전자기학' 카테고리의 다른 글

근거리장(Near-field)과 원거리장(Far-field)  (0) 2021.03.10